Forum » Elektrotehnika in elektronika » Visokonapetostni elektricni drogovi
Visokonapetostni elektricni drogovi

Juplter ::
Oziroma kako se jim prav reče? Tole mislim:
 
  
 
Kar tako iz radovednosti me zanima če obstajajo kakšni javni podatki o vseh električnih povezavah po sloveniji? Ali je to poslovna skrivnost?
In tisti ko se spoznate; Ali lahko iz te priložene slike ugovotimo kakšna je napetost in tok?
In zakaj ima ta drog 5 žic. Kaj pomenijo?
 
Pač malo sem radoveden. ...
Kar tako iz radovednosti me zanima če obstajajo kakšni javni podatki o vseh električnih povezavah po sloveniji? Ali je to poslovna skrivnost?
In tisti ko se spoznate; Ali lahko iz te priložene slike ugovotimo kakšna je napetost in tok?
In zakaj ima ta drog 5 žic. Kaj pomenijo?
Pač malo sem radoveden. ...
http://cifxcj4qdn5ognlgc6bjnd6jgjibbjmysbhc4sifdhqiyur4fnctfuqd.onion/fck45.rar

mirator ::
Po vsej verjetnosti gre za 400 kV daljnovod. V Sloveniji imamo sicer v področju visokoh napetosti 400 kV, 220 kV in 110 kV sisteme in na srednji napetosti 20 kV in deloma še 10 kV daljnovode, ki pa počasi prehajajo na 20 kV nivo.
Pet vodnikov je zato, ker sta na vrhu dve vrvi za strelovodno zaščito, spodaj na izolatorjih pa so faze.
Pet vodnikov je zato, ker sta na vrhu dve vrvi za strelovodno zaščito, spodaj na izolatorjih pa so faze.

kow ::
Pa vizualno ni mogoce lociti 400kv, 220kv in 110kv daljnovodov? 
Hvala drugace za razlago (zakaj 5 vodnikov). Veckrat sem se ze spraseval, pa nikoli vprasal, heh.
Hvala drugace za razlago (zakaj 5 vodnikov). Veckrat sem se ze spraseval, pa nikoli vprasal, heh.
Zgodovina sprememb…
- spremenil: kow ()

s1m0n ::
Mislim, da se za 400kV uporablja dvojček? Za vsako fazo po 2 vodnik, če me spomin ne vara... Zgornji pa so tak strelovodni vodniki. 

Fave ::
Gre za 110 kV daljnovod. Toka ne moreš določiti na pogled. Spodnji trije vodniki so fazni, zgornja dva pa strelovodna zaščita.
 
Fun fact: Električna energija teče ob vodnikih (polje) in ne v oz. na površini vodnikov.
Fun fact: Električna energija teče ob vodnikih (polje) in ne v oz. na površini vodnikov.
My mind's a hyper tool that fixes everything.

Tero ::
Fun fact: Električna energija teče ob vodnikih (polje) in ne v oz. na površini vodnikov.
Prosim????
Tok vedno teče po vodniku.
Give a man a fish, he'll be fed for a day. 
Teach a man to fish and he'll drown himself.
Teach a man to fish and he'll drown himself.

A. Smith ::
Tok ni energija. Tok teče po prevodniku, energija (večinoma) po izolatorju.
 
Poglej si razlago s Poyntingovim vektorjem. Na wikipedii je tudi primer s koaksialnim kablom, kjer je jasno razvidno, da energija ne teče po prevodniku.
 
Fave ima prav; kar navaja, je splošno sprejeta fizikalna teorija.
Poglej si razlago s Poyntingovim vektorjem. Na wikipedii je tudi primer s koaksialnim kablom, kjer je jasno razvidno, da energija ne teče po prevodniku.
Fave ima prav; kar navaja, je splošno sprejeta fizikalna teorija.
"Be professional, be polite, 
but have a plan to kill everyone you meet".
- General James Mattis
but have a plan to kill everyone you meet".
- General James Mattis

mirator ::
Kot je zapisal @ToniT, se napetost določi iz št. zaporedno sklopljenih izolatorjev. Ker jih je po fazi 8 gre za 110 kV DV. Višina jambora je odvisna od dolžine razpetine (večja je razpetina, večji je poves) in od zahtevane minimalne razdalje pri maksimalnem povesu med daljnovodno vrvjo do tal oz.objekta pod daljnovodom. 
Zgodovina sprememb…
- spremenil: mirator ()

WhiteAngel ::
ELESovi daljnovodi imajo vsi majhno rumeno tablico nekje na daljnovodu in piše točno številka daljnovoda in napetost. Daljnovodi lokalnih elektro podjetij pa ne nujno. Poleg GIS/PISOta imaš na https://osm.org tudi daljnovode notri vrisane z nekaj informacijami. 

kow ::
Domnevam, da sprasujes ce gre linearno? Jih je pri 220kV 16? Ali imajo drugacne elemente?
 
Torej, ce lahko vizualno dolocimo za kaksen daljnovod gre, npr. 220kV - ali to pomeni, da ne moremo z gotovostjo (le z veliko verjetnostjo) sklepati ali se uporablja za 110 ali 220kV? Se kdaj gradi preko trenutno potrebne kapacitete? Ali je nemogoce uporabljati nizjo napetost - domnevam, da je tako.
Torej, ce lahko vizualno dolocimo za kaksen daljnovod gre, npr. 220kV - ali to pomeni, da ne moremo z gotovostjo (le z veliko verjetnostjo) sklepati ali se uporablja za 110 ali 220kV? Se kdaj gradi preko trenutno potrebne kapacitete? Ali je nemogoce uporabljati nizjo napetost - domnevam, da je tako.
Zgodovina sprememb…
- spremenil: kow ()

Miha 333 ::
Na prvi sliki so spodaj 3 faze, zgornji dve pa ozemljitev/strelovod. Na splošno trije enaki vodniki (ali 2x trije - nekateri daljnovodi so dvojni) so skoraj zagotovo 3 faze. 
 
Elesovo omrežje imaš tukaj: https://www.eles.si/obratovanje-prenosn...
Od lokalnih distributerjev pa ne vem kje bi se videlo.
Elesovo omrežje imaš tukaj: https://www.eles.si/obratovanje-prenosn...
Od lokalnih distributerjev pa ne vem kje bi se videlo.

FrRoSt ::
Fun fact: Električna energija teče ob vodnikih (polje) in ne v oz. na površini vodnikov.
Prosim????
Tok vedno teče po vodniku.

Menda zato, ker je vodnik izoliran!??
 
 Noben človek ni otok, popolnoma sam zase; smrt slehernega človeka vzame 
del mene, ker pripadam človeški vrsti; in zato nikdar ne pošiljaj poizvedovat,
komu zvoni; zvoni tebi.
del mene, ker pripadam človeški vrsti; in zato nikdar ne pošiljaj poizvedovat,
komu zvoni; zvoni tebi.

mirator ::
Daljnovodne vrvi niso izolirane.
Se mi pa debata o mediju pretoka energije za nivo slo-tech zdi povsem out.
Se mi pa debata o mediju pretoka energije za nivo slo-tech zdi povsem out.

mirator ::
Koliko teh izolatorjev pa je pri drugih napetostih?
Odvisno za kakšne izolatorje gre. Običano so to izolatorske verige sestavljene iz kapastih izolatorjev, ki pa so lahko keramične (porcelann) ali steklene izvedbe ali pa kompozitni iz silikonskih smol. Potem pa je prisotna tudi ozemljitev ter ali gre za električno ojačano izolacijo pri različnih prehodih.
V vsakem primeru za navadnega človeka niti ni bistveno, kakšne napetosti je kateri daljnovod. Bistveno je, da je približevanje DV kateregakoli napetostnega nivoja - smrtno nevarno (ni treba, da je dotik dotik, dovolj je že bližina v kateri je izolacijska upornost zraka manjša od prebojne trdnosti).

marjan_h ::
Zakaj bi bila debata o prenosu energije brez pomena? Mogoče nas je 5 % na slo-techu, ki nas to zanima.
 
Zdej, jaz tudi nisem nikoli razmišljal o tem, vendar sem pa večkrat v kakšnem elektrotehničnemu učbeniku prebral, da tok opravi delo na porabniku. To je npr. za žarnico z volframovo nitko. Se segreje in odda toploto in svetlobo. Kaj pravzaprav je energija v elektrotehniki? V fiziki je samo zmožnost opravljanja dela, če pravimo, da se s poljem ob vodniku prenaša energija, potem če bi bili v drugem vesolju in se tam ne bi ustvarilo polje ob toku, žarnica kljub toku ne bi gorela? Ker se ne bi prenesla energija do porabnika?
Zdej, jaz tudi nisem nikoli razmišljal o tem, vendar sem pa večkrat v kakšnem elektrotehničnemu učbeniku prebral, da tok opravi delo na porabniku. To je npr. za žarnico z volframovo nitko. Se segreje in odda toploto in svetlobo. Kaj pravzaprav je energija v elektrotehniki? V fiziki je samo zmožnost opravljanja dela, če pravimo, da se s poljem ob vodniku prenaša energija, potem če bi bili v drugem vesolju in se tam ne bi ustvarilo polje ob toku, žarnica kljub toku ne bi gorela? Ker se ne bi prenesla energija do porabnika?

A. Smith ::
Ta dva videa ne govorita o Poyntingu, temveč o EM valu, ki nastane pri vklopu stikala. Poleg tega avtor malce zavaja in razlaga prosto po prešernu. 
"Be professional, be polite, 
but have a plan to kill everyone you meet".
- General James Mattis
but have a plan to kill everyone you meet".
- General James Mattis

mertseger ::
Oziroma kako se jim prav reče? Tole mislim:
Kar tako iz radovednosti me zanima če obstajajo kakšni javni podatki o vseh električnih povezavah po sloveniji? Ali je to poslovna skrivnost?
In tisti ko se spoznate; Ali lahko iz te priložene slike ugovotimo kakšna je napetost in tok?
In zakaj ima ta drog 5 žic. Kaj pomenijo?
Pač malo sem radoveden. ...
Uradno se uporablja visokonapetostni nadzemni vodi, po starem tudi daljnovodi. Ta je 110 kV, trase se da dobiti vsaj na zemljevidu tudi GIS obstaja sam za "uporabnike". Lahko jih ločiš po napetostnem nivoju glede na število izolatorjev. Tisti zgornji dve vrvi sta zaščitni vrvi ki varujeta fazne vodnike pred udari strel.
Zakaj bi bila debata o prenosu energije brez pomena? Mogoče nas je 5 % na slo-techu, ki nas to zanima.
Zdej, jaz tudi nisem nikoli razmišljal o tem, vendar sem pa večkrat v kakšnem elektrotehničnemu učbeniku prebral, da tok opravi delo na porabniku. To je npr. za žarnico z volframovo nitko. Se segreje in odda toploto in svetlobo. Kaj pravzaprav je energija v elektrotehniki? V fiziki je samo zmožnost opravljanja dela, če pravimo, da se s poljem ob vodniku prenaša energija, potem če bi bili v drugem vesolju in se tam ne bi ustvarilo polje ob toku, žarnica kljub toku ne bi gorela? Ker se ne bi prenesla energija do porabnika?
Zakaj se drugje v vesolju ne bi ustvarilo polje ob vodniku ? Fizikalni zakoni veljajo tako na marsu kot Uranu ali pa kje drugje v vesolju.
Zgodovina sprememb…
- spremenilo: mertseger ()

mirator ::
Zakaj bi bila debata o prenosu energije brez pomena? Mogoče nas je 5 % na slo-techu, ki nas to zanima.
Zdej, jaz tudi nisem nikoli razmišljal o tem, vendar sem pa večkrat v kakšnem elektrotehničnemu učbeniku prebral, da tok opravi delo na porabniku. To je npr. za žarnico z volframovo nitko. Se segreje in odda toploto in svetlobo. Kaj pravzaprav je energija v elektrotehniki? V fiziki je samo zmožnost opravljanja dela, če pravimo, da se s poljem ob vodniku prenaša energija, potem če bi bili v drugem vesolju in se tam ne bi ustvarilo polje ob toku, žarnica kljub toku ne bi gorela? Ker se ne bi prenesla energija do porabnika?
Evo za tistih 5%, ki jih zanima:
http://antena.fe.uni-lj.si/literatura/R...
Debata na forumu pa je brezveze, ker je za razumevanje nujno potrebno znanje višje matematike.
Žarnica bo, če je tok, vedno gorela. Pogoj za tok pa je potencialna razlika oz. napetost.
Da pa se energija prenaša izven vodnika je preprost pokazatelj enačba električne moči. P=U*I. Napetost U je med vodnikoma ali vodnikom in nulo, tok I pa v vodniku. Seveda je energija poraba moči v času torej W = P*t oz. W=U*I*t.

kow ::

mertseger ::
Debata na forumu pa je brezveze, ker je za razumevanje nujno potrebno znanje višje matematike.
"visja matematika" ne pomeni nic. Bos moral biti bolj specificen. Verjetno si mislil na matematiko, ki jo slisis na vsakem resnem univerzitetnem (inzenirskem) faksu.
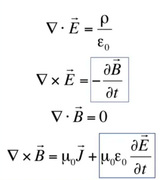
Če razumeš to povem veš vse, jih pa ni veliko ki dejansko razumejo te štiri enačbe.
[img]https://i.postimg.cc/YhYqy4VJ/Brez-nasl... Maxwell]
Vredno ogleda ...
| Tema | Ogledi | Zadnje sporočilo | |
|---|---|---|---|
| Tema | Ogledi | Zadnje sporočilo | |
| » | Kako pravzaprav dobimo nulo v el instalacijah? (strani: 1 2 )Oddelek: Elektrotehnika in elektronika | 10670 (7512) | marjan_h | 
| » | Bi živeli pod daljnovodom? (strani: 1 2 3 4 )Oddelek: Elektrotehnika in elektronika | 44987 (21264) | Invictus | 
| » | Električni tokokrogOddelek: Elektrotehnika in elektronika | 7442 (5546) | lara2 | 
| » | Zakaj stebri daljnovodov klonejo (strani: 1 2 3 4 5 6 )Oddelek: Elektrotehnika in elektronika | 81098 (70028) | Zajec123 | 
| » | Solarne nevihte (strani: 1 2 3 )Oddelek: Znanost in tehnologija | 23738 (18215) | Marat | 


