Forum » Pomoč in nasveti » Umestitev Tp-link Deco
Umestitev Tp-link Deco
rs1975 ::
Zdravo,
prosil bi za vašo pomoč kako tole urediti, da bo vse delalo.
Situacija je sledeča:
- v pritličju imam dovod optike, vključena na modemu. Na modemu imam vključen Wi-Fi , da pokriva pritličje
- pritličje in spodnja etaža sta povezani z UTP kablom
- UTP kabli gredo potem iz spodnje etaže v mansardo
- v spodnji etaži in mansardi je vključeno stikalo TP-link SG108E
- vse naprave priključene na stikala (PC-ji, Neo) delajo normalno
- ker pa v spodnji etaži in mansardi nimam dobrega Wi-Fi signala, sem nabavil 2 enoti Deco Mesh X50
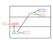
K obstoječi postavitvi sem priključil Deco enoti, vsakega na posamezni stikali (slika Hiša1). V tem primeru Deco1 dela normalno, medtem ko Deco2 dela v Meshu le preko Wi-Fi povezave in ne preko ETH. Ker je vmes ena etaža je seveda Deco2 skoraj neuporaben.
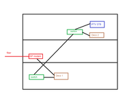
Če pa naredim manjšo spremembo(slika Hiša2), iz modema gre najprej povezava na Deco1 in nato na stikalo. V tem primeru potem Deco2 tudi dela preko ETH povezave in WiFi dela super. Problem pa je, ker pri taki postavitvi ne dela Neo v mansardi.
Predvidevam, da bo potrebna nekako nastaviti porte na stikalih. Kdo ve kako?
[img] Hiša1]
[img] Hiša2]
prosil bi za vašo pomoč kako tole urediti, da bo vse delalo.
Situacija je sledeča:
- v pritličju imam dovod optike, vključena na modemu. Na modemu imam vključen Wi-Fi , da pokriva pritličje
- pritličje in spodnja etaža sta povezani z UTP kablom
- UTP kabli gredo potem iz spodnje etaže v mansardo
- v spodnji etaži in mansardi je vključeno stikalo TP-link SG108E
- vse naprave priključene na stikala (PC-ji, Neo) delajo normalno
- ker pa v spodnji etaži in mansardi nimam dobrega Wi-Fi signala, sem nabavil 2 enoti Deco Mesh X50
K obstoječi postavitvi sem priključil Deco enoti, vsakega na posamezni stikali (slika Hiša1). V tem primeru Deco1 dela normalno, medtem ko Deco2 dela v Meshu le preko Wi-Fi povezave in ne preko ETH. Ker je vmes ena etaža je seveda Deco2 skoraj neuporaben.
Če pa naredim manjšo spremembo(slika Hiša2), iz modema gre najprej povezava na Deco1 in nato na stikalo. V tem primeru potem Deco2 tudi dela preko ETH povezave in WiFi dela super. Problem pa je, ker pri taki postavitvi ne dela Neo v mansardi.
Predvidevam, da bo potrebna nekako nastaviti porte na stikalih. Kdo ve kako?
[img] Hiša1]
[img] Hiša2]
Zvezdica27 ::
lp,
če je deco mesh sistem, potem optika-modem (izkopi wifi, fw lahko pustiš, a bolje, da ga imaš na deco 1) - 1 gbits kabel do deco1. Iz deco1 nato kabli do deco2 oz. do switchev. LAN se torej začne z deco1 in vse priklaplaj za njim. Mesh dela najbolje, če sta oba deca med sabo povezana s kablom (magari preko switchev). Na switchih izklopi dhcp, naj vse kontrolirata decota, njiju pa nastaviš preko app.
Sicer sam nimam decota, a takole bi moralo biti najbolje. Tvoj modem za optiko (in router/switch tam notri je torej samo za dostop do neta - mogoče lahko TV direkt nanj daš, to se odloči oz. naj ti na tehnični od providerja povedo kako in kaj).
Na ta način provider tvojega LAN ne vidi oz. vidi samo da je.
zz
če je deco mesh sistem, potem optika-modem (izkopi wifi, fw lahko pustiš, a bolje, da ga imaš na deco 1) - 1 gbits kabel do deco1. Iz deco1 nato kabli do deco2 oz. do switchev. LAN se torej začne z deco1 in vse priklaplaj za njim. Mesh dela najbolje, če sta oba deca med sabo povezana s kablom (magari preko switchev). Na switchih izklopi dhcp, naj vse kontrolirata decota, njiju pa nastaviš preko app.
Sicer sam nimam decota, a takole bi moralo biti najbolje. Tvoj modem za optiko (in router/switch tam notri je torej samo za dostop do neta - mogoče lahko TV direkt nanj daš, to se odloči oz. naj ti na tehnični od providerja povedo kako in kaj).
Na ta način provider tvojega LAN ne vidi oz. vidi samo da je.
zz
starfotr ::
Važna je pravilna vezava deco točk.
https://www.tp-link.com/en/support/faq/...
Do TV STB je najbolje potegnit samostojen kabel in ga vtaknit direktno v modem.
https://www.tp-link.com/en/support/faq/...
Do TV STB je najbolje potegnit samostojen kabel in ga vtaknit direktno v modem.
rs1975 ::
Važna je pravilna vezava deco točk.
https://www.tp-link.com/en/support/faq/...
Do TV STB je najbolje potegnit samostojen kabel in ga vtaknit direktno v modem.
To na žalost ni možno...
Zvezdica27 je izjavil:
lp,
če je deco mesh sistem, potem optika-modem (izkopi wifi, fw lahko pustiš, a bolje, da ga imaš na deco 1) - 1 gbits kabel do deco1. Iz deco1 nato kabli do deco2 oz. do switchev. LAN se torej začne z deco1 in vse priklaplaj za njim. Mesh dela najbolje, če sta oba deca med sabo povezana s kablom (magari preko switchev). Na switchih izklopi dhcp, naj vse kontrolirata decota, njiju pa nastaviš preko app.
Sicer sam nimam decota, a takole bi moralo biti najbolje. Tvoj modem za optiko (in router/switch tam notri je torej samo za dostop do neta - mogoče lahko TV direkt nanj daš, to se odloči oz. naj ti na tehnični od providerja povedo kako in kaj).
Na ta način provider tvojega LAN ne vidi oz. vidi samo da je.
zz
A da pa na modemu ostane vključen Wifi pa ne bo OK? Ker s tem bi pokril srednjo etažo. Če res ne gre, potem ni druge kot da dokupim še tretji Deco
Zgodovina sprememb…
- spremenilo: rs1975 ()
Lonsarg ::
Lahko pustis vklopljenega, samo ne bo del TP Link mesh WiFija in ti bo posledicno preklapljalo slabo (ce das isti Wifi ime/password), oziroma bo preklop rocni ce das drugo ime. Jaz priporocam al rocni preklop al pa profi Mesh kjer so vse tocke isti Mesh. Ker tisto slabo preklapljanje je lahko zelo motece (ostane povezan na slabsi signal namesto da bi sel na boljsega, dropa WiFi klic in podobno).
Zelo verjetno pa niti osnov nimas porihtanih trenutno (moras dolocit kdo je glavni ruter in na ostalih izklopit DHCP, ostali ruterji morajo nujno imeti WAN port nepovezan, dolocit moras mesh master in ostale dat v slave mode in se kaj bi se naslo). Skozi te osnove te lahko vodi tudi ChatGPT ;)
Zelo verjetno pa niti osnov nimas porihtanih trenutno (moras dolocit kdo je glavni ruter in na ostalih izklopit DHCP, ostali ruterji morajo nujno imeti WAN port nepovezan, dolocit moras mesh master in ostale dat v slave mode in se kaj bi se naslo). Skozi te osnove te lahko vodi tudi ChatGPT ;)
Zgodovina sprememb…
- spremenil: Lonsarg ()
gorazdkop ::
Saj Deco-i se sami povežejo med sabo in ne rabiš za osnovne potrebe nič nastavljat. Mora pa biti ena enota določena kot master, ostale pa povezane preko nje. Ali žično ali pa brezžično. Master pa na dovod interneta (glavni ruter). Vse nastaviš preko njihove aplikacije Deco
rs1975 ::
Saj Deco-i se sami povežejo med sabo in ne rabiš za osnovne potrebe nič nastavljat. Mora pa biti ena enota določena kot master, ostale pa povezane preko nje. Ali žično ali pa brezžično. Master pa na dovod interneta (glavni ruter). Vse nastaviš preko njihove aplikacije Deco
Saj tako imam, ampak se zadeve zakomplicirajo v mansardi - bodisi ne dela Deco2 preko ETH povezava ali pa ne dela Neo (glede na vezana na slikah)
Zvezdica27 ::
lp,
1. na modemu izklopi wifi, svetujem, mesh je gotovo boljši wifi
2. kliči na telekom ali so lahko neoti na decotih ali je bolje, da so direkt na modemu (potem imaš težavo, da moraš imeti več kablov). Meni osebno na t-2 tv dela brez ploblema preko mesh točk
3. na modemu dhcp izlopi, bo deco1 vse kontroliral na lan. če imaš switche/routerje, tudi tam izklopi (če so routerji).
4. če kej izgubiš signal, dodaj deco3 nekam (na kabel)
Med obema decotoma mora biti kabel in če je vse OK se bosta videla in mora delati. med mesh točkami je prehod brez glitchov.
V bistvu tista tvoja druga slika bi morala delati, sam je po moje težava, ker ti oba switcha delata štalo na LAN. Sta morda routerja z DHCP?
zz
1. na modemu izklopi wifi, svetujem, mesh je gotovo boljši wifi
2. kliči na telekom ali so lahko neoti na decotih ali je bolje, da so direkt na modemu (potem imaš težavo, da moraš imeti več kablov). Meni osebno na t-2 tv dela brez ploblema preko mesh točk
3. na modemu dhcp izlopi, bo deco1 vse kontroliral na lan. če imaš switche/routerje, tudi tam izklopi (če so routerji).
4. če kej izgubiš signal, dodaj deco3 nekam (na kabel)
Med obema decotoma mora biti kabel in če je vse OK se bosta videla in mora delati. med mesh točkami je prehod brez glitchov.
V bistvu tista tvoja druga slika bi morala delati, sam je po moje težava, ker ti oba switcha delata štalo na LAN. Sta morda routerja z DHCP?
zz
Vredno ogleda ...
| Tema | Ogledi | Zadnje sporočilo | |
|---|---|---|---|
| Tema | Ogledi | Zadnje sporočilo | |
| » | Innbox V60U in Deco M4Oddelek: Omrežja in internet | 694 (333) | rs1975 |
| » | Težave po prehodu na optikoOddelek: Omrežja in internet | 3235 (1929) | starfotr |
| » | Kateri Mesh sistem? (strani: 1 2 3 )Oddelek: Kaj kupiti | 21009 (7329) | dvihtelic |
| » | Hitrost modema se preko kabla prepolovi, preko routerja ali switchaOddelek: Pomoč in nasveti | 4253 (2888) | Jaymz |
| » | Deco m4 mesh na T-2 kablu problemOddelek: Pomoč in nasveti | 2913 (2302) | SeMiNeSanja |

